হলে x এর মান কত?

A
32
B
8
C
3
D
√8
উত্তরের বিবরণ
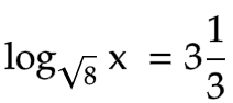
প্রশ্ন:
হলে x এর মান কত?
সমাধান:
log√8x = 3(1/3)
বা, log√8x = 10/3
বা, x = (√8)10/3
বা, x = (√23)10/3
বা, x = (23/2)10/3
বা, x = 25
∴ x = 32

0
Updated: 1 day ago
log3(√27) + log3√(1/3) = কত?
Created: 1 week ago
A
1
B
0
C
3
D
- 4
সমাধান:
আমরা জানি, loga(m) + loga(n) = loga(mn) হয়।
সুতরাং, log3(√27) + log3(√(1/3)
= log3√(27 × 1/3)
= log3(√9)
= log3(3)
= 1

0
Updated: 1 week ago
Created: 1 week ago
A
0.25
B
0.018
C
0.09
D
0.08

0
Updated: 1 week ago
logx (1/256) = - 8 হলে x এর মান কত?
Created: 3 weeks ago
A
2
B
3
C
5
D
8
প্রশ্ন: logx (1/256) = - 8 হলে x এর মান কত?
সমাধান:
logx (1/256) = - 8
বা, x - 8 = 1/256
বা, 1/x8 = 1/256
বা, x8 = 256
বা, x8 = 28
∴ x = 2

0
Updated: 3 weeks ago