A
5
B
8/3
C
14
D
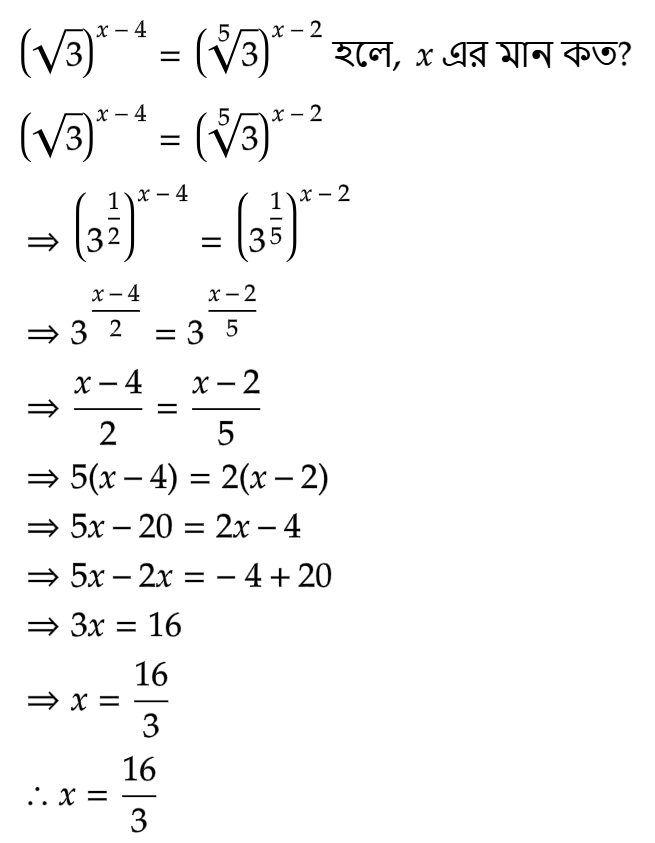
16/3
উত্তরের বিবরণ
প্রশ্ন:
সমাধান:

0
Updated: 1 day ago
What is the angle between the hour and minute hand of a clock when it is 3 : 40 pm?
Created: 2 weeks ago
A
120°
B
110°
C
150°
D
130°
Question: What is the angle between the hour and minute hand of a clock when it is 3 : 40 pm?
Solution:
3 ঘণ্টা 40 মিনিট = 3 + (40/60) ঘণ্টা
= 11/3 ঘণ্টা
ঘণ্টার কাঁটা 12 ঘণ্টায় 360° ঘুরে
∴ 1 ঘণ্টায় ঘুরে 360/12 = 30°
∴ 11/3 ঘণ্টায় ঘুরে (30 × 11/3) = 110°
আবার,
মিনিটের কাঁটা প্রতি মিনিটে 6° করে ঘুরে
∴ 40 মিনিটে ঘুরে (6 × 40) = 240°
সুতরাং, ঘড়ির কাঁটা দুটির মধ্যবর্তী কোণ = |240 - 110| = 130°

0
Updated: 2 weeks ago
x + (1/x) = 2 হলে, x5 + (1/x5) = কত?
Created: 1 month ago
A
4
B
2
C
8
D
24
প্রশ্ন: x + (1/x) = 2 হলে, x5 + (1/x5) = কত?
সমাধান:
দেওয়া আছে,
x + (1/x) = 2
বা, (x2 + 1)/x = 2
বা, x2 + 1 = 2x
বা, x2 - 2x + 1 = 0
বা, (x - 1)2 = 0
বা, x - 1 = 0
∴ x = 1
এখন,
x5 + (1/x5)
= (1)5 + {1/(1)5}
= 1 + (1/1)
= 1 + 1
= 2

0
Updated: 1 month ago
log3√254√2 + log2√264 = ?
Created: 3 weeks ago
A
12
B
10
C
7
D
9
প্রশ্ন: log3√254√2 + log2√264 = ?
সমাধান:
log3√254√2 + log2√264
= log3√2(3√2)3 + log2√2(2√2)4
= 3 + 4
= 7
এখানে
54√2 = 27 × 2√2
= 33 ×(√2)3
= (3√2)3
64 = 26
= 24 × {(√2)2}2
= 24 × (√2)4
= (2√2)4

0
Updated: 3 weeks ago