If a2 - √5a + 1 = 0, then the value of a2 + a- 2 = ?
A
3
B
5
C
7
D
2√5
উত্তরের বিবরণ
Solution:
দেয়া আছে,
a2 - √5a + 1 = 0
⇒ a2 + 1 = √5a
⇒ a + (1/a) = √5 [উভয়পক্ষকে a দ্বারা ভাগ করে]
প্রদত্ত রাশি= (a2 + a- 2)
= a2 + (1/a2)
= {a + (1/a)2} - 2. a. (1/a)
= (√5)2 - 2
= 5 - 2
= 3
∴ নির্ণেয় মান = 3
দেয়া আছে,
a2 - √5a + 1 = 0
⇒ a2 + 1 = √5a
⇒ a + (1/a) = √5 [উভয়পক্ষকে a দ্বারা ভাগ করে]
প্রদত্ত রাশি= (a2 + a- 2)
= a2 + (1/a2)
= {a + (1/a)2} - 2. a. (1/a)
= (√5)2 - 2
= 5 - 2
= 3
∴ নির্ণেয় মান = 3

0
Updated: 21 hours ago
একটি আয়তক্ষেত্রের দৈর্ঘ্য প্রস্থ অপেক্ষা ২৩ মিটার বড়। আয়তক্ষেত্রটির পরিসীমা ২০৬ মিটার হলে ক্ষেত্রফল কত?
Created: 1 month ago
A
২৪৬০ বর্গমিটার
B
২৪৮০ বর্গমিটার
C
২৫২০ বর্গমিটার
D
২৬২০ বর্গমিটার
প্রশ্ন: একটি আয়তক্ষেত্রের দৈর্ঘ্য প্রস্থ অপেক্ষা ২৩ মিটার বড়। আয়তক্ষেত্রটির পরিসীমা ২০৬ মিটার হলে ক্ষেত্রফল কত?
সমাধান:
মনে করি,
আয়তক্ষেত্রটির দৈর্ঘ্য = x মিটার
∴ আয়তক্ষেত্রটির প্রস্থ = (x - ২৩) মিটার
∴ আয়তক্ষেত্রটির পরিসীমা = ২{x + (x - ২৩)} মিটার
= ২(২x - ২৩) মিটার
= (৪x - ৪৬) মিটার
প্রশ্নমতে,
৪x - ৪৬ = ২০৬
বা, ৪x = ২০৬ + ৪৬
বা, ৪x = ২৫২
বা, x = ২৫২/৪
∴ x = ৬৩
অর্থাৎ, আয়তক্ষেত্রটির দৈর্ঘ্য = ৬৩ মিটার
∴ আয়তক্ষেত্রটির প্রস্থ = (৬৩ - ২৩) মিটার
= ৪০ মিটার
∴ আয়তক্ষেত্রটির ক্ষেত্রফল = (দৈর্ঘ্য × প্রস্থ) বর্গমিটার
= (৬৩ × ৪০) বর্গমিটার
= ২৫২০ বর্গমিটার ।

0
Updated: 1 month ago
Created: 6 hours ago
A
36
B
42
C
3/2
D
54
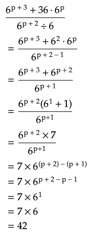
প্রশ্ন:
সমাধান:

0
Updated: 6 hours ago
U = {a, b, 1, 2, 3} এবং R= {a} হলে Rc এর মান কত?
Created: 1 month ago
A
{b, 1, 2, 3}
B
{b, 2, 3}
C
{a, 1, 2}
D
{a, b, 3}
প্রশ্ন: U = {a, b, 1, 2, 3} এবং R= {a} হলে Rc এর মান কত?
সমাধান:
দেওয়া আছে,
U = {a, b, 1, 2, 3} এবং
R = {a}
∴ Rc
= U - R
= {a, b, 1, 2, 3} - {a}
= {b, 1, 2, 3}

0
Updated: 1 month ago