x- 3 - 0.008 = 0 হলে, x2 এর মান কত?
A
25
B
100
C
125
D
1000
উত্তরের বিবরণ
সমাধান:
x- 3 - 0.008 = 0
বা, x- 3 = 0.008
বা, 1/x3 = 8/1000
বা, 1/x3 = 1/125
বা, 1/x3 = 1/53
বা, x3 = 53
বা, x = 5
বা, x2 = 52
∴ x2 = 25

0
Updated: 3 days ago
3x3 + 2x2 - 7x + 2 রাশিটির একটি উৎপাদক হচ্ছে-
Created: 4 weeks ago
A
x - 2
B
x - 1
C
x + 1
D
x - 3
প্রশ্ন: 3x3 + 2x2 - 7x + 2 রাশিটির একটি উৎপাদক হচ্ছে-
সমাধান:
ধরি, f(x) = 3x3 + 2x2 - 7x + 2
∴ f(1) = 3(1)3 + 2(1)2 - 7(1) + 2
= 3(1) + 2(1) - 7 + 2
= 3 + 2 - 7 + 2
= 0
যেহেতু f(1) = 0, সুতরাং উৎপাদক উপপাদ্য অনুযায়ী, (x - 1) হলো প্রদত্ত রাশিটির একটি উৎপাদক।

0
Updated: 4 weeks ago
If (a - 18)2 + (b - 12)2 + (c - 6)2 = 0 then, What is the value of (a + b + c)1/2 = ?
Created: 5 days ago
A
9
B
6
C
12
D
14
Question: If (a - 18)2 + (b - 12)2 + (c - 6)2 = 0 then, What is the value of (a + b + c)1/2 = ?
Solution:
দেওয়া আছে,
(a - 18)2 + (b - 12)2 + (c - 6)2 = 0
আমরা জানি, যেকোনো বর্গের যোগফল শূন্য হলে প্রতিটি বর্গই শূন্য হবে।
সুতরাং,
(a - 18)2 = 0
⇒ a - 18 = 0
∴ a = 18
আবার,
(b - 12)2 = 0
⇒ b - 12 = 0
∴ b = 12
এবং
(c - 6)2 = 0
⇒ c - 6 = 0
∴ c = 6
প্রদত্ত রাশি,
(a + b + c)1/2
= (18 + 12 + 6)1/2
= (36)1/2
= 6

0
Updated: 5 days ago
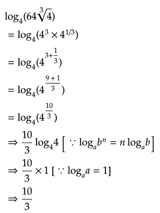
Created: 6 hours ago
A
10/3
B
5/3
C
11/3
D
12/5
প্রশ্ন:
সমাধান:

0
Updated: 6 hours ago